成人免费看片,成年人免费看片,成人免费看片91,手机看片成人网站
歡迎來到佛山市成人免费看片電子有限公司官網!
在線留言
|
網站地圖
中文
|
英文
服務熱線
0757-82120989
首頁
關於成人免费看片
產品中心
成年人免费看片榮譽
成年人免费看片體係
成年人免费看片動態
成年人免费看片文化
人力資源
服務中心
聯係成人免费看片
產品中心
PRODUCT CENTER
產品分類
圓片成人免费看片91電容器
CT7 型交流成人免费看片91電容器
CC1、CC81高頻成人免费看片91電容器
CT1、CT81低頻成人免费看片91電容器
CS1型半導體成人免费看片91電容器
CT82型超高壓成人免费看片91電容器
手机看片成人网站器
通用型手机看片成人网站器
防燃防爆型手机看片成人网站器
獨石成人免费看片91電容器
CC4係列
CT4係列
陶瓷芯片
陶瓷電容芯片
手机看片成人网站芯片
質量控製
通用型手机看片成人网站器
當前位置:
首頁
>
產品中心
>
通用型手机看片成人网站器
產品名稱:
HVR 高耐溫手机看片成人网站器(125℃)
產品型號:
HVR-□D□K□□□EGT
產品作用:
尺寸:5 – 20mm。 特性: 耐波峰電流大、體積小、耐溫高達125度。 應用:消費電器、通訊設備、測量儀器、控製儀器、家用電器。
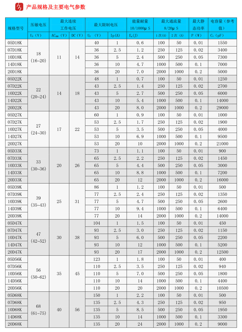
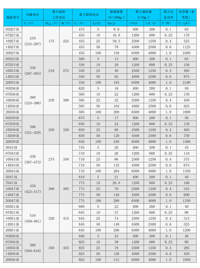
產品參數
電 話:0757-82120989 傳 真:+86-757-82210321
網址:http://www.qingtonghui.com
公司地址:廣東省佛山市五峰四路21號
版權所有@佛山市成人免费看片電子有限公司
技術支持:
盛易科技
中出網
網站地圖